我所在"凍融作用對多年凍土區泥炭地CO2排放"研究方面取得新進展
凍融循環是影響中高緯度地區碳循環的重要影響因素,尤其是在受全球變暖影響下的多年凍土區。然而,凍融作用對中高緯度多年凍土區泥炭地不同活動層土壤CO2的相關研究卻很少,對于凍融期CO2排放機制并不是很明確。為此,我所濕地與全球變化學科組王嬌月博士等人在宋長春研究員的帶領下,采用凍融模擬實驗,系統研究了凍融作用下大興安嶺泥炭地活動層土壤CO2排放規律及影響機制。
圖1.凍結和融化過程大興安嶺泥炭地活動層土壤CO2排放特征

圖2.大興安嶺泥炭地活動層土壤活性碳組分對凍融循環的響應

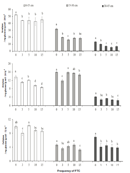
圖3.大興安嶺泥炭地活動層土壤酶活性對凍融循環的響應
研究結果表明,融化階段大興安嶺泥炭地活動層土壤呈現明顯排放高峰,約是未凍融土壤(CK)的1.6–1.7倍。雖然凍融循環(FTC)沒有改變CO2釋放隨著土壤深度增加而降低的規律,但是凍融期間CO2的釋放卻顯著低于CK(t=-5.80,P<0.0001),這主要是凍結期間較低的CO2釋放抵消了融化期的高排放,意味著多年凍土區泥炭地活動層土壤在凍融期間的CO2釋放潛能可能會低于由于全球變暖增溫導致的CO2釋放。同時,FTC也顯著增加了土壤DOC的釋放,約是未凍融土壤的1.2–1.6倍,意味著在凍融期間可能會有更多的土壤碳以滲濾液的形式流失。另外,FTC期間的CO2釋放與土壤活性有機碳及土壤酶活性呈現顯著正相關關系,表明FTC下存活的微生物和酶能夠利用土壤活性底物導致凍融期間CO2的釋放。相關研究結果為精確評估全球變化背景下多年凍土區泥炭地碳循環提供支撐,研究同時指出相關機制的深入揭示需進一步加強微生物機理研究。
此研究受碳專項,國家自然科學基金和創新團隊項目共同資助,研究結果發表在Journal of Plant Nutrition and Soil Science。
論文Jiaoyue Wang, Changchun Song, AixinHou, Lili Wang. CO2 emissions from soils of different depths of a permafrost peatland, Northeast China: response to simulated freezing–thawing cycles. Journal of Plant Nutrition and Soil Science. 2014, 177, 524-531.
附件下載:
吉公網安備22017302000214號