東北地理所在火燒對濕地碳循環影響方面取得進展
火是自然生態系統中重要的生態擾動因素之一,其對生態系統的植被群落結構、演替、多樣性以及凈初級生產力等均產生不可忽略的影響。濕地生態系統儲存超過全球30%以上的土壤碳,是重要的碳庫。規劃火燒已經逐漸成為管理和恢復濕地生態系統的重要手段之一,且在全球變暖和區域人類活動增加的背景下,野火和人為火發生的頻率和強度在全球范圍內均明顯增加,而火對濕地生態系統的碳循環過程影響也將成為全球碳循環過程中必不可少的關鍵因素之一。然而相比于森林、草地等生態系統,目前缺乏關于火燒對濕地碳循環的影響研究。
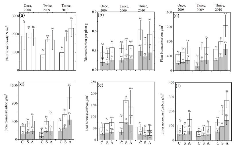
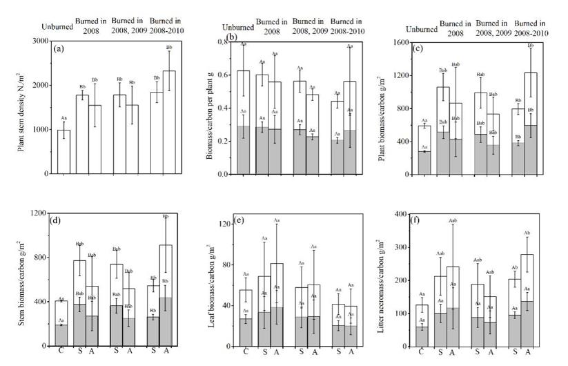
為深入探討火燒頻次、火燒季節等因素對濕地植被的影響,中國科學院東北地理與農業生態研究所濕地演化與生態功能學科組的科研人員們與國際同行在三江平原選取我國最典型的草本沼澤濕地——小葉章濕地為研究對象,開展為期三年的野外火燒控制實驗研究。研究發現火燒頻次、火燒季節以及火后恢復時間均對小葉章群落的生長具有顯著影響。火燒顯著提高了小葉章群落在下一年度的地上生物量和莖密度,特別是莖密度,春季和秋季燃燒區的莖密度(約2000Nr/m2)均是未燃燒區(987 ± 190 Nr/m2)的兩倍以上。而秋季火燒對小葉章群落地上生物量的促進效果要優于春季火燒,并隨著火燒頻次的增加影響更加明顯,例如在連續三年火燒之后秋季火燒區的地上生物量是1236 ± 295 g/m2 明顯高于春季火燒區(796.2 ± 66.6 g/m2)。相比于秋季火燒,春季火燒對小葉章群落的影響持續時間要更長。考慮前人研究中發現的火燒僅對燃燒區同一年的鳥類產生影響,根據本研究結果,我們認為如果將規劃火燒作為一個降低地上植被枯落物載量防止農田跑火的手段,秋季火燒不僅可以有效的促進小葉章群落恢復并明顯提高其地上生物量,同時也保證了地上可燃物載量在農業燃燒之前得到有效降低。

圖1. 不同火燒頻次對同年九月小葉章群落的莖密度和地上生物量的影響,a-b表示火燒頻次間的差異顯著性,A-C表示火燒季節間的差異顯著性。

圖2. 不同火燒頻次(即不同火后恢復時間)對第三年九月小葉章群落的莖密度和地上生物量的影響,a-b表示火燒頻次間的差異顯著性,A-B表示火燒季節間的差異顯著性。
相關成果發表在國際期刊Journal of Environmental Management上,本研究由東北地理所高傳宇博士,趙紅梅博士,王國平研究員等聯合英國斯旺西大學Stefan H. Doerr教授和Cristina Santin博士在國家自然基金(41771504,42171103,42101108,41911530188),國家重點研發計劃 (2017YFC0212303), 和中國科學院青年創新促進會 (2020235)等項目共同資助下完成。.
論文信息:
Chuanyu Gao, Guoping Wang, Cristina Santin, Stefan H. Doerr, Jinxin Cong, Hongmei Zhao*. Response of Calamagrostis angustifolia to burn frequency and seasonality in the Sanjiang Plain wetlands (Northeast China). Journal of Environmental Management, 2021, 300, 113759. https://doi.org/10.1016/j.jenvman.2021.113759
附件下載:
吉公網安備22017302000214號