東北地理所在寒區湖泊水體抗生素時空動態及其生態風險研究方面取得進展
抗生素作為一類典型的新污染物在國內外廣受關注,其對生態環境和人類健康的潛在威脅引起了人們的極大關注。2022年國務院辦公廳印發《新污染物治理行動方案》明確指出新污染物應遵循全生命周期環境風險管理理念,統籌推進新污染物環境風險管理。抗生素污染已成為湖泊水環境健康面臨的重要挑戰,中低緯度湖泊相繼開展了抗生素污染的相關研究。然而,寒區湖泊冰封和低溫對水體中抗生素空間分布的影響機制及其生態風險尚不清楚(圖1)。因此,探究全季節寒區湖泊水體抗生素分布特征及其潛在生態風險評估具有重要意義。
東北地理所水文與水資源研究團隊針對查干湖這一典型寒區湖泊,從全季節尺度綜合探討了抗生素的污染特征及時空分布,探究其與抗性基因 (ARGs) 的相關關系,并結合生態風險篩選分級式優先管控抗生素名單。管控名單對于促進當前新污染物環境健康風險研究和寒區湖泊污染管控具有重要的學術和現實意義。

圖1. 全季節寒區湖泊抗生素賦存的影響因素示意圖
研究結果表明:
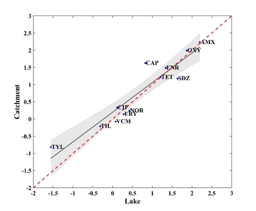
?。?)查干湖水體七類常用抗生素濃度檢出順序為 (β內酰胺類>四環素類>磺胺類>氯霉素類>喹諾酮類>大環內酯類>糖肽類),其中阿莫西林 (AMX) 和土霉素 (OXY) 為主要污染物,并且其在湖泊和周邊匯水區污染特征相似(圖2、3)。

圖2. 查干湖及周邊匯水區抗生素污染狀況

圖3. 12種抗生素在湖泊和周邊匯水區離散性分布
?。?)冰封濃縮過程和弱光照以及低溫環境的綜合作用促使查干湖冬季水體抗生素呈現出高污染水平(圖4),灌區退水則是促進非冰封期抗生素季節分布的主要因素 。

圖4. 抗生素濃度的季節性分布
(3)大環內酯類、四環素類以及萬古霉素類抗性基因的相對豐度較高,主要受其對應抗生素的半衰期和親脂性的影響。因此,抗生素的理化性質是其污染管控中不可忽視的關鍵要素 (圖5)。

圖5. Log P和K的相關關系 (Log P表示特定抗生素的辛醇-水分配系數的對數;K為抗生素與相應ARGs線性函數關系的斜率值)
(4)利用風險商法評估了查干湖水體抗生素全季節污染的生態風險,基于ARGs的相對豐度和生態風險,運用權重法構建查干湖抗生素優先管控系數 (HCPL),確定四個管理層級,即關鍵優先級為β-內酰胺類 (AMX) 和大環內酯類 (ERY, TYL) 抗生素,高優先級為四環素類抗生素 (TET, OXY) 和萬古霉素,中優先級為磺胺類 (SDZ),低優先級為喹諾酮類藥物 (CIP、NOR、ENR) 和氯霉素類藥物 (CAP)(圖6)。

圖6. 查干湖抗生素優先管控名單確定
綜上所述,建議加強查干湖及其匯水區冰封期及融化期β-內酰胺類和大環內酯類抗生素的優先管控,為查干湖水環境風險管控提供科學支撐。
該研究成果發表在水環境領域國際權威期刊《Water Research》。本研究由東北地理所博士研究生鞠含俞(第一作者)、章光新研究員(通訊作者)和新加坡國立大學張敬杰教授(共同通訊作者)等共同完成。該研究得到了國家自然科學基金面上項目 (42077356,41877160)、中國科學院戰略性先導科技專項 (XDA28020500) 和吉林省重點研發計劃項目 (20200403002SF) 的共同資助。
論文信息:Hanyu Ju, Ling Liu, Xuemei Liu, Yao Wu, Lei Li, Karina Yew-Hoong Gin, Guangxin Zhang*, Jingjie Zhang*. (2022). A comprehensive study of the source, occurrence, and spatio-seasonal dynamics of 12 target antibiotics and their potential risks in a cold semi-arid catchment. 229, 119433.
鏈接:https://doi.org/10.1016/j.watres.2022.119433
附件下載:
吉公網安備22017302000214號