東北地理所在全球有機碳輸入對土壤供氮潛力的影響方面取得進展
氮和碳素在土壤中存在緊密的耦合關系,由于微生物自身代謝的化學計量需求,微生物在利用外源碳素進行合成和分解代謝的同時,也將刺激有機氮的礦化過程進而影響土壤供氮潛力。但在外源有機碳輸入普遍發生的背景下,仍缺乏關于土壤總氮礦化(GNM)對外源有機碳輸入全球尺度響應模式的整合分析,這限制了我們對全球土壤潛在氮供應及碳氮元素流動的認識。
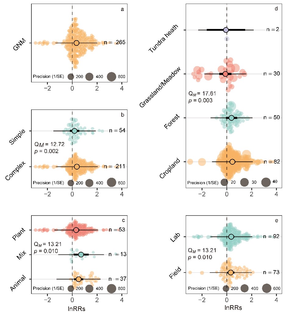
東北地理所土壤物質循環學科組研究人員在Web of Science和中國知網上檢索了2021年9月10日前發表的相關文獻,匯總了全球范圍內63項研究的265組觀測值,借助分層模型和方差-協方差矩陣,進行了土壤GNM對外源有機碳輸入響應的meta分析,探討了外源有機碳性質及環境因子對GNM的影響。
研究表明:外源有機碳的輸入使GNM顯著提高了40.8%(圖1a)。外源有機碳基質添加對土壤GNM的影響因其種類而異,秸稈和堆肥等復雜外源有機碳的輸入使土壤GNM顯著提高了44.7%,而葡萄糖等簡單外源有機碳輸入對土壤GNM沒有顯著影響(圖1b)。在各生態系統中,外源有機碳添加僅對農田生態系統土壤GNM有顯著的促進作用(圖1d)。外源有機碳基質輸入對土壤GNM影響因子的分析發現,外源有機碳的輸入量是影響土壤GNM最重要因素,二者呈顯著正相關(p < 0.05)(圖2)。此外,土壤初始pH和外源有機碳的pH在調控外源有機碳輸入后土壤GNM變化中起到重要作用,且與GNM呈顯著負相關(p < 0.05)。本研究meta分析結果提供了對全球范圍內土壤GNM對外源有機碳基質輸入響應的系統性理解,研究結果為提升碳氮耦合作用下全球碳氮循環平衡模型提供參考。

圖1 土壤總氮礦化對外源有機碳添加的響應值

圖2 外源有機碳添加條件下氣候因子、土壤初始性質、外源有機碳性質對土壤總氮礦化的影響
相關研究成果近期發表在農林科學領域期刊《Soil & Tillage Research》上,土壤物質循環學科組特別研究助理劉明慧為第一作者,李祿軍研究員和東北林業大學馮富娟教授為共同通訊作者。研究工作得到國家自然科學基金、中國科學院基礎前沿科學重點研究計劃項目和黑龍江省杰出青年基金項目聯合資助。
論文信息:Minghui Liu, Fujuan Feng*, Lu-Jun Li*, Xinran Du, Zhuoyun Zhang, Ximei Ji. Possibility of exogenous organic carbon input to increase global soil nitrogen supply potential: A meta-analysis. Soil & Tillage Research, 2023, 232, 105773.
附件下載:
吉公網安備22017302000214號