東北地理所在解析長期氣候變暖下黑土有機碳穩定的分子機制方面取得進展
黑土含有大量有機碳,其對氣候變化非常敏感。土壤有機碳的穩定機制主要包括物理保護(團聚體的閉蓄作用)、化學保護(礦物的吸附作用)和生化保護(底物驅動的生物速率限制)。氣候變化會間接影響土壤團聚體穩定性,但是調控團聚體穩定性的主要因素仍有爭議。團聚體結合碳是評估土壤碳固定的敏感指標之一。在土壤團聚體的不同粒級中,作為主要粘合劑的物質會降低生物可及性,這在土壤有機碳積累和穩定中起關鍵作用。因此,了解土壤有機碳的化學成分對于提供有關有機碳在分子水平上積累和穩定的生化保護機制信息至關重要。
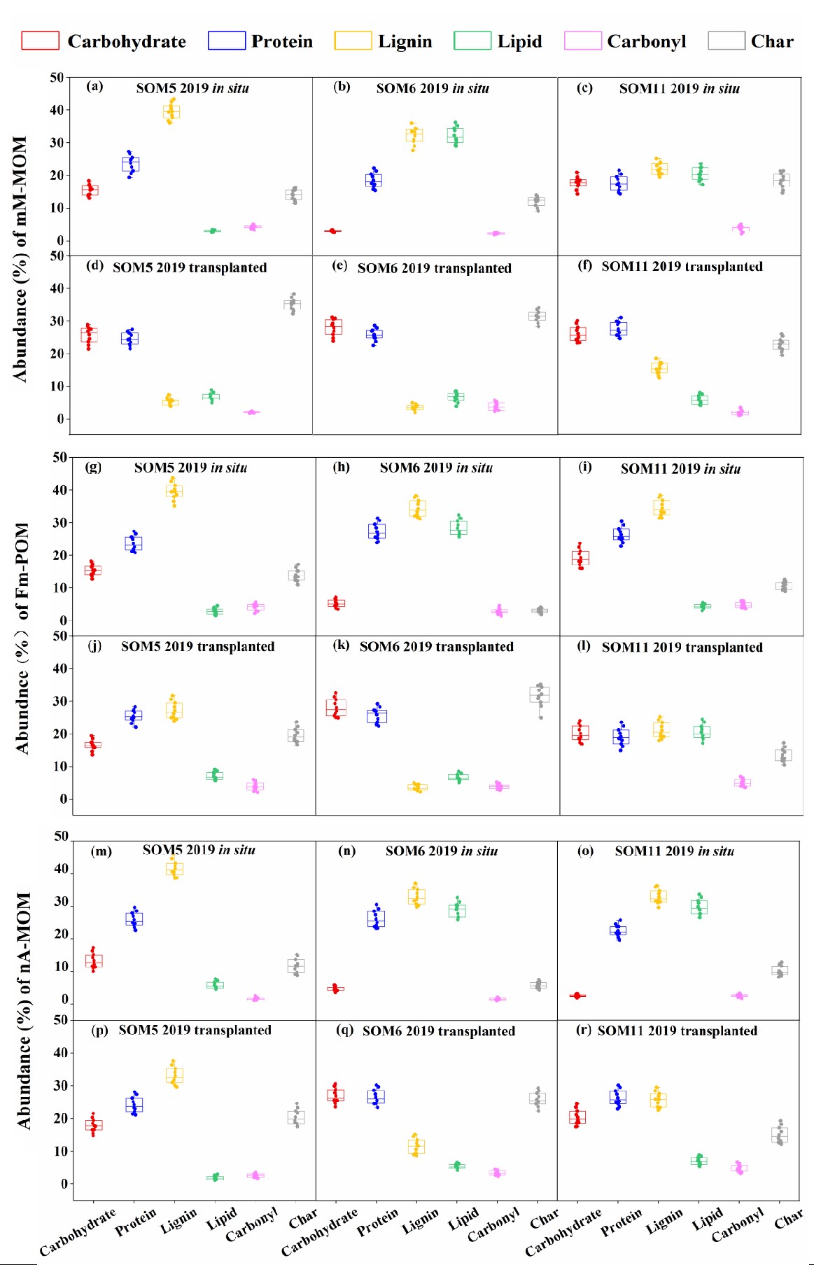
為此,中國科學院東北地理所土壤資源與利用學科組科研人員以2004年建立的模擬氣候變暖的空間移位試驗為研究對象,將初始不同有機質含量的黑土從高緯度空間移位到低緯度,利用土壤團聚體的物理-化學聯合(團聚體-密度)分級、傅里葉變換紅外光譜、核磁共振和分子混合模型等手段,探索了長期氣候變暖對黑土活性和惰性有機碳組分的含量、分子結構和團聚體穩定性的影響及其潛在機制。研究結果發現,長期氣候變暖會提高初始有機質含量較高的黑土有機碳含量,增加黑土溶解性有機碳、游離微團聚體有機碳和非團聚的粉黏粒有機碳含量;但是會降低易氧化有機碳、微生物生物量碳、“大團聚體中-微團聚體內的粉黏粒”有機碳含量以及土壤團聚體穩定性。氣候變暖增加了“游離微團聚體”和“非團聚的粉黏粒組分”中顆粒有機質的比例和有機碳含量,卻降低了“大團聚體中-微團聚體內的粉黏粒組分”的比例和有機碳含量;更重要的是,土壤團聚體穩定性與以上三種組分中的碳水化合物含量呈正比,而與其木質素含量呈反比(圖1)。研究結果說明土壤大團聚體和非團聚的粉黏粒有機質中礦物結合的化學保護,以及游離微團聚體內顆粒有機質中閉蓄作用的物理保護可能是長期氣候變化下黑土有機碳穩定的主要機制(圖2)。

圖1 長期氣候變化下核磁共振測定和分子混合模型計算的分子化合物相對豐度
圖2 長期氣候變化下土壤團聚體穩定性預測因子結構方程模型
研究成果近期發表在農林科學國際期刊《Geoderma》上,東北地理所土壤資源與利用學科組特別研究助理周萌為論文第一作者,農田分子生態學科組劉曉冰研究員為通訊作者。研究得到國家重點研發計劃項目(2021YFD1500700)、中國科學院戰略性先導科技專項(XDA28070302)、“一帶一路”國際科學組織聯盟專業成員項目(ANSO-PA-2020-12)和黑龍江省自然科學基金優秀青年項目(YQ2023D007)聯合資助。
論文信息:Meng Zhou, Yang Xiao, Xingyi Zhang, Yueyu Sui, Leilei Xiao, Jinkuo Lin, Richard M. Cruse, Guangwei Ding, Xiaobing Liu*. Warming-dominated climate change impacts on soil organic carbon fractions and aggregate stability in Mollisols. Geoderma, 2023, 438: 116618.
論文鏈接:https://doi.org/10.1016/j.geoderma.2023.116618
附件下載:
吉公網安備22017302000214號