東北地理所在典型沼澤植物增殖調控方面取得進展
由缺水事件所引發的植物繁殖過程阻滯問題嚴重威脅著濕地生態系統健康。精準補水措施可在緩解農業-生態用水矛盾的前提下促進退化濕地的近自然恢復。盡管精準補水作為一種基于自然的濕地植被恢復解決方案的生態意義已被廣泛認可,但以往的研究多關注于植物功能性狀對水文情勢變化的響應,而關于精準補水對植物增殖調控的作用機制仍然知之甚少,盡管其對植物繁殖和遺傳信息傳遞具有重要影響。
中國科學院東北地理與農業生態研究所科研人員以典型濕地植物-瘤囊薹草為研究對象,基于多年期野外觀測信息及微宇宙實驗數據,比較了不同初始水文條件及分時補水措施下瘤囊薹草小穗發育和種子生長特征差異,探究了精準補水措施對瘤囊薹草繁殖器官發育的貢獻程度和作用機制,并以此為基礎靶向性提出基于農業用水循環利用的濕地精準補水策略。
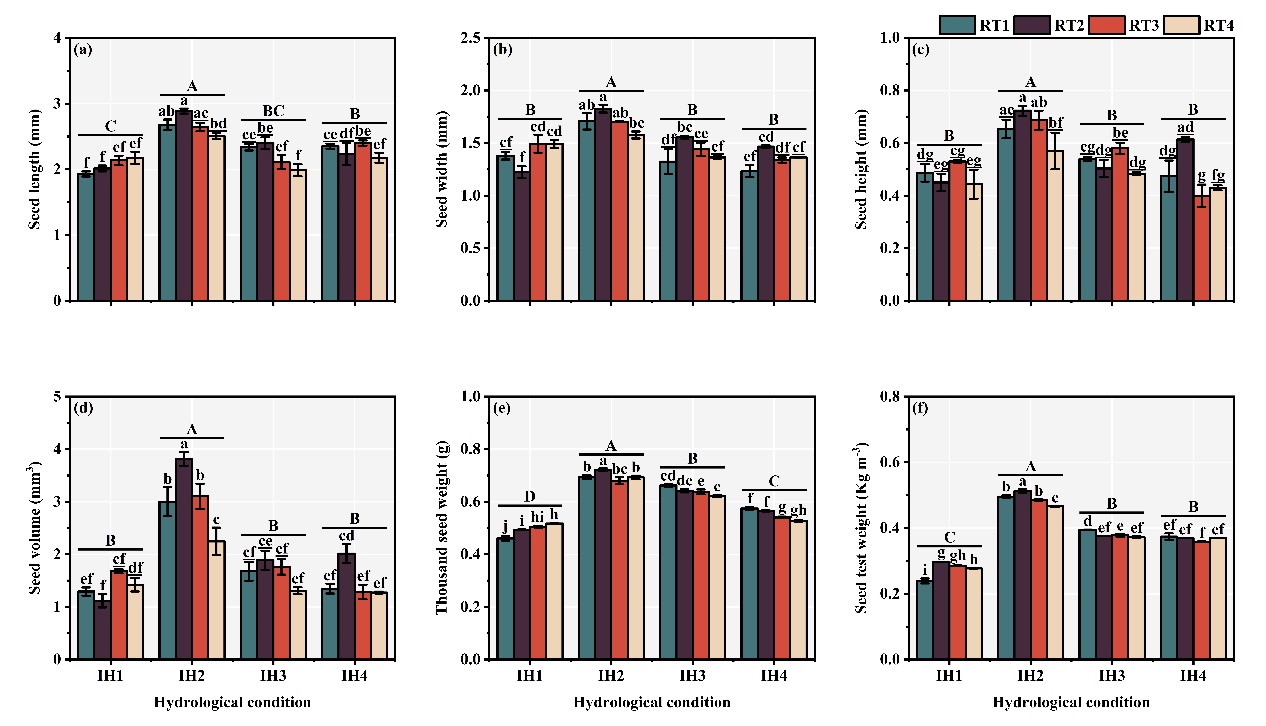
研究結果表明,初始水文條件和分時補水措施顯著影響了瘤囊薹草的小穗發育、種子生長、葉片發育以及光合色素積累。相較于其他處理,濕潤條件結合第15天補水至初始水文狀態的水文情勢顯著增強了瘤囊薹草小穗發育特征、種子生長特性,且葉片生態特征及葉綠素含量均高于其他處理條件。此外,小穗發育特征和種子生長性狀與葉片生態特征和葉綠素含量表現出顯著的相關性。在驅動機制方面,水文條件及補水情境直接影響了瘤囊薹草的小穗發育和種子生長,同時還通過調控葉片寬度和葉綠素b含量從而間接影響小穗發育過程和隨后的種子生長活動。總體而言,精準補水措施通過多種途徑顯著影響瘤囊薹草的小穗發育和種子生長。結合半干旱區氣候特征及農業發展狀況,實施洪水和融雪水資源集約化利用以及農業-生態水資源共管可作為半干旱地區高效利用水資源的關鍵策略。
研究成果近期在線發表于國際期刊Journal of Environmental Management,本研究由東北地理所特別研究助理張洺也(第一作者)、安雨副研究員(通訊作者)、王國棟研究員、姜明研究員、佟守正研究員等共同完成。該研究得到了國家重點研發計劃青年科學家項目(2023YFF1305800)和吉林省科技發展項目(YDZJ202401477ZYTS)等項目共同資助。

圖1 典型沼澤植物增殖調控實驗設計

圖2 不同補水措施下典型沼澤植物種子發育特征

圖3 典型沼澤植物種子發育活動與葉片生態特征之間的關系

圖4 精準補水措施對典型沼澤植物增殖擴繁的驅動機制
論文信息及鏈接如下:
Zhang,MY,Liu SC,An,Y,Zhang,DJ,Qi,Q,Jiang,M,Cui,G,Tong,SZ. 2024.Re-watering solution facilitates seed germination and seedling growth of Carex schmidtii: Implication for species re-introduction in degraded semi-arid wetlands. Journal of Environmental Management,362,121286. Doi:10.1016/j.jenvman.2024.121286.
Zhang,MY,Liu SC,Wang,GD,An,Y,Jiang,M,Zhang,DJ,Cui,G,Yan,L,Tong,SZ. 2025. Precision water recharge facilitates spikelet development and seed growth in Carex schmidtii: Implications for near-natural restoration of degraded semi-arid wetlands. Journal of Environmental Management,375,124338. Doi:10.1016/j.jenvman.2025.124338.
附件下載:
吉公網安備22017302000214號